Dam removal and river restoration projects can restore river health and clean water, revitalize fish and wildlife populations, provide public recreation opportunities, and boost local economies. These projects can also unleash new problems, however, if contaminated sediments are released downstream. Take the hundred-year saga of the Milltown Dam, for example.
In 1908, copper-mining tycoon William Clark built the Milltown Dam on the Clark Fork River in southwestern Montana to supply hydroelectric power to his sawmills. Within months of the dam’s construction, a 500-year flood deposited tons of metal-contaminated sediment behind the dam. By the 1980s, the reservoir stored 5 million cubic meters of contaminated sediment. Arsenic levels in nearby groundwater compelled the Environmental Protection Agency to designate the reservoir a Superfund site.
During an unusually wet winter in 1996, a large ice jam flowed downstream and threatened to breach the dam. An emergency drawdown of the reservoir, intended to settle the ice jam on the riverbed, released a large quantity of contaminated sediment into the river downstream from the dam, killing most of the river’s fish. This ultimately led to a multiyear remediation plan involving a phased reservoir drawdown, mechanical removal of 2 million cubic meters of contaminated sediment at a cost of $120 million, and a planned breaching and removal of the dam in 2008.
The Milltown Dam’s history illustrates a collision of two conflicting environmental concepts: the use of dam removals as a tool for river restoration and the release of significant quantities of contaminated sediment in rivers, especially the archive of legacy sediment in dams and reservoirs. This conflict may play out more and more over the next decades. More than 1000 U.S dams were removed between 1975 and 2015. This pace will only continue because more than 85% of U.S. dams will exceed their 50-year engineered life expectancies by 2020 [Bennett et al., 2013]. Aging dam-reservoir systems add to the impact as their sediment trapping efficiencies decline and sediment throughput increases [Juracek, 2015].
The Past as Prelude
Environmental policy makers and engineers often treat contaminated sediment as a separate issue from the effect of dam removals.
Environmental policy makers and engineers have largely treated contaminated sediment as a separate issue from the effect of dam removals, with a few notable exceptions. The 1973 removal of the Fort Edwards Dam on the Hudson River released 336,300 cubic meters of sediment within the first year while retaining 765,000 cubic meters in the former reservoir [Shuman, 1995]. Later, scientists determined that the sediments were contaminated with polychlorinated biphenyls (PCBs), a type of pollutant banned in the United States in 1979. Eventually, workers dredged 2 million cubic meters of river sediment at a cost of $561 million after decades of legal arguments about the merits of dredging versus sediment capping.
The 2008 removal of the Milltown Dam is, to date, the most significant dam removal project involving contaminated sediment. Sediment deposits behind the dam contained heavy metals (arsenic, lead, zinc, and copper) from mining waste [Evans and Wilcox, 2014]. By the 1980s, the reservoir stored 5 million cubic meters of contaminated sediment. Studies demonstrated that the reservoir sediments were no longer a contaminant sink but a contaminant source.
Between initial reservoir drawdown in June 2006 and dam breaching in March 2008, 140,000 metric tons of fine-grained sediment containing 44 metric tons of copper and 6.4 metric tons of arsenic eroded from the reservoir and transported downstream. In the year following the dam removal, 420,000 metric tons of fine-grained sediment containing 169 metric tons of copper and 15.8 metric tons of arsenic eroded from the former reservoir [Sando and Lambing, 2011], despite the preremoval remediation.
Before and After
For smaller dams, there are two case studies with preremoval and postremoval geochemistry data. After the 2000 removal of the Manatawny Creek Dam in Pennsylvania, Ashley et al. [2006] showed that downstream sediment transport reduced the number of sites in the reservoir where polycyclic aromatic hydrocarbons (PAHs) and PCBs exceeded the probable effects level [Ingersoll et al., 1996] within several months after removal.
In the 2011 dam removal on the Pawtuxet River near Cranston, R.I., Cantwell et al. [2014] used sediment traps and passive samplers to document reductions in dissolved and particulate PAH and PCB concentrations. Both studies showed that dam removal had minimal downstream effects because of low initial volumes of fine-grained sediment in the reservoir.

Contaminated sediments have been a concern in the ongoing removals of the Ballville Dam (Sandusky River, Ohio), the Brown River Dam (Boardman River, Michigan), the Otsego Township Dam (Kalamazoo River, Michigan), and probably many others. In a significant policy change, the Sierra Club has sued to prevent the removal of the Ballville Dam (photo above) pending evaluation and remediation of the reservoir sediment. The concern is that release of phosphate from the reservoir would promote blooms of toxic algae (Microcystis) downstream in Lake Erie. In 2014, toxic algae blooms in Lake Erie cut off the drinking water supply for 500,000 people for several days. However, the lawsuit and the financial costs associated with it and any remediation may have the unintended consequence of preventing the dam removal from taking place.
The failure of a dewatering structure at the Brown River Dam caused hydraulic flood damage to 66 properties and led to the unanticipated downstream release of 5700 cubic meters of sediment containing arsenic, barium, lead, selenium, and zinc. Affected property owners filed a $6.3 million liability lawsuit that is still pending. The Otsego Township Dam removal, which took place within a PCB Superfund site, was complicated by the need to spend $725,000 repairing the dam to prevent imminent failure and release of contaminants.
As dams age and need to be removed, contaminated sediment remediation will become increasingly frequent and costly.
As dams age and need to be removed, contaminated sediment remediation will become increasingly frequent and costly. Major and Warner [2008] found contaminant concentrations above threshold effects levels [Ingersoll et al., 1996] at eight of the nine potential dam removal sites in New England. Bennett et al. [2013] found low sediment pesticide concentrations in seven of eight reservoirs. The 2009 Springborn Dam removal on Scantic River in Connecticut required spending $2.8 million, out of a total river restoration budget of $4 million, for preremoval contaminated sediment disposal.
Quantifying Contamination
Scientists have developed several ways to define and classify the degree to which sediments are contaminated. The sediment quality criterion for any particular contaminant is defined as the contaminant concentration in the sediment pore (interstitial) fluid that is equal to the water quality criterion. Scientists often use an equilibrium partitioning approach to calculate contaminant concentrations in interstitial water on the basis of sediment concentrations. However, because of data limitations and because most sediments contain mixtures of contaminants, scientists must also frequently use other classification methods.
The sediment triad approach (STA) uses sediment geochemistry, bioassays (laboratory measures of lethality of a contaminant to certain species or other parameters), and changes in structure, biomass, or diversity of the ecological community in the river [Long and Chapman, 1985]. STAs offer advantages, such as the reproducibility of bioassay studies, but require extensive data. Also, ecological community studies from one geographic area are unlikely to have wider applicability.
Various organizations in North America have created sediment quality guidelines (SQGs). The SQG for each contaminant is based on two reference concentrations that are statistically associated with biological effects. Concentrations below the lowest reference level are considered a minimal risk, concentrations between the two reference levels are considered threshold risk, and concentrations above the highest reference level are considered probable risk. Recently, scientists have merged several different types of SQGs into a consensus-based approach [MacDonald et al., 2000].
It is not clear, however, what SQGs mean in dam removal situations. First, it is not clear how preremoval reservoir sediment SQGs translate into postremoval downstream risks after the contaminants are dispersed and diluted. Variables include sediment composition (percentage clays and organic matter), transport rate, channel residence time, the dynamics of downstream reaches that might create hot spots (regions of concentrated contamination), and whether or not sediment is dispersed into the ocean or a large lake.
Moreover, the true threat of a contaminant is its bioavailability, which is not based solely on sediment concentration. Bioavailability also depends on whether contaminants are chelated to particulate organics or weakly bound to clays and sulfides and on environmental parameters affecting interactions between particulate phases and dissolved phases.
Reservoir Management Decisions
After the decision has been made to remove a dam, contaminated sediment creates problems for management plans. In a reservoir, options for managing contaminated sediment include no action (which might be appropriate if remediation, such as dredging, creates higher risks) and sediment stabilization by capping [Randle and Greimann, 2006].
However, in some dam removal situations, neither of these options may be feasible because of hydrologic, geologic, and geochemical conditions that change in space and time (Figure 1). Previous studies have shown the progression of incision, channel widening, lateral channel migration, terracing, and new floodplain creation following dam removal [Doyle et al., 2002] or dam failure [Evans, 2007]. The magnitude of sediment erosion and reworking vastly complicates attempts to stabilize (i.e., maintain in place) contaminated sediments.

Typically, more than 80% of the reservoir sediment is remobilized within several years after dam removal, depending on the frequency of floods [Rathbun et al., 2005]. Sediment stabilization requires hydrologic forecasting for an environment that does not currently exist: the exhumed former reservoir and the newly restored river channel. The set of unknowns might be mitigated by (1) phased drawdown of the reservoir, exposure, and restoring vegetative ground cover on the reservoir sediments, (2) imposing a designed channel through the former reservoir, and/or (3) diking hot spots. Few dam removal studies document the success of these methods.
Historical Contamination Events
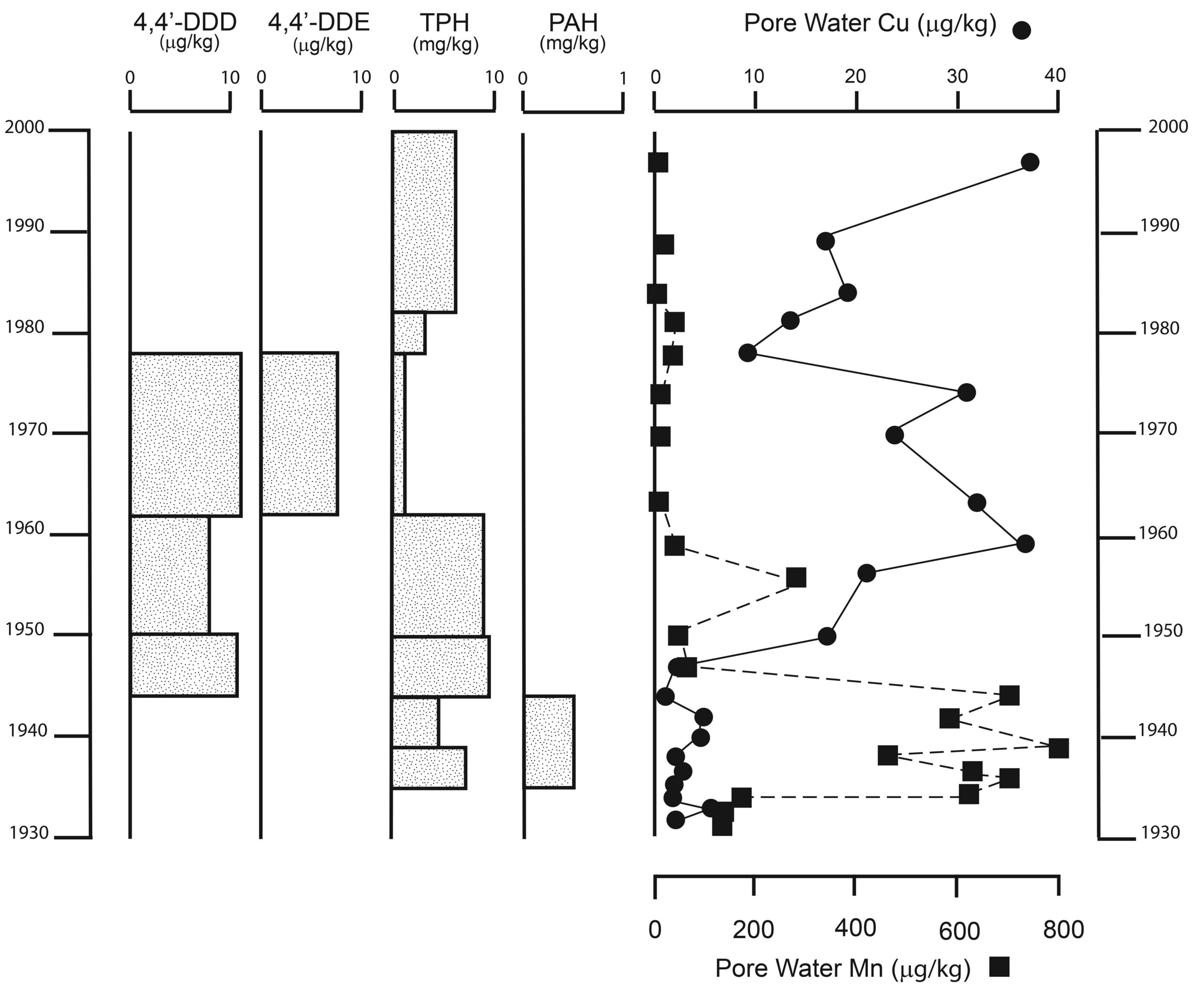
![Fig. 2. Chronostratigraphic plot of contaminant stratigraphy in a core from the Ballville Reservoir (Sandusky River, Ohio). The plot shows that DDT derivatives are found in a horizon corresponding to agricultural use in the drainage basin, whereas total petroleum hydrocarbons (TPH) and copper (Cu) vary throughout the core. Manganese (Mn) and polycyclic aromatic hydrocarbons (PAHs) are concentrated below the sediment redox zone. Credit: Evans and Gottgens [2007]](https://eos.org/wp-content/uploads/2015/09/15-0232_Evans_4946_F02_BW_WEB-480x395.jpg)
In addition, few studies have considered the effects of contaminant stratigraphy. In the proposed removal of Ballville Dam on the Sandusky River in Ohio, Evans and Gottgens [2007] found DDD/DDE pesticide residues at sediment levels corresponding to 1940–1980, the time when farmers in the drainage basin were using the pesticide DDT (Figure 2). In contrast, PAH concentrations were not consistent with historical use but were secondarily concentrated below the oxidized microzone in the sediment.
Peck et al. [2007] found elevated chromium, copper, and lead concentrations in the historical 1913 flood layer in the pool of the Munroe Falls Dam on the Cuyahoga River in Ohio. This was a 500-year flood event that destroyed industrial facilities upstream of the reservoir. If there are “hot layers” in the reservoir sediments, then the severity of downstream effects will depend on whether or not those layers are exhumed and remobilized after dam removal. Currently, no published case studies shed light on how likely this is to occur.
Research and Policy Needs
Dam removal managers need methods to anticipate contaminated sediment problems. Rathbun et al. [2005] have described a geographic information system (GIS)-based model called the Regional Impounded Sediment Quality Assessment (RISQA) model. RISQA uses historical data to identify upstream contaminant sources, hydrologic data to evaluate the quantity of contaminants that were transported to the reservoir, and the trapping efficiency of the dam to assess how likely contaminants are to be present. This type of model has great potential, and it needs to be tested and made more widely available.
If managers suspect that a dam may be impounding contaminated sediments, they then need follow-up studies to assess the sediment quality for each contaminant. However, translating reservoir sediment SQGs into downstream risks after dam removal will still be challenging. Managers lack information about the long-term success of phased drawdowns, capping, or hot spot isolation by diking in the former reservoir. And there are no studies about maintaining the stratigraphic isolation of hot layers.
Only certain states require sediment management plans prior to a dam removal [Csiki and Rhoads, 2010]. The lack of clarity about the acceptable magnitude and/or duration of contaminated sediment release from a former reservoir after dam removal may lead to litigation, exposing the organizations involved in dam removal and river restoration to liability risk.
A Growing Problem
Contaminated sediment issues will continue to grow in importance in dam removal and river restoration projects.
Recent controversies surrounding several dam removals, such as the Sierra Club’s lawsuit to halt the removal of Ballville Dam, indicate that contaminated sediment issues will continue to grow in importance in dam removal and river restoration projects. The scientific and policy communities must anticipate and act on the specific needs described above in order to ensure that the national progress continues in restoring rivers and improving water quality. Dam removals are transient hydrologic events with the potential of distributing contaminants downstream, yet at the present time there is little guidance about mitigating these effects.
Acknowledgments
I wish to thank Hans Gottgens, John Peck, Samantha Greene, and Chauncey Anderson for their insights and helpful suggestions.
References
Ashley, J. T. F., K. Bushaw-Newton, M. Wilhelm, A. Boettner, G. Drames, and D. J. Velinsky (2006), The effects of small dam removal on the distribution of sedimentary contaminants, Environ. Monit. Assess., 114, 287–312, doi:10.1007/s10661-006-4781-3.
Bennett, S. J., J. A. Dunbar, F. E. Rhoton, P. M. Allen, J. M. Bigham, G. R. Davidson, and D. G. Wren (2013), Assessing sedimentation issues within aging flood-control reservoirs, in The Challenges of Dam Removal and River Restoration, Rev. Eng. Geol., 21, 25–44.
Canwell, M. G., M. M. Perron, J. C. Sullivan, D. R. Katz, R. M. Burgess, and J. King (2014), Assessing organic contaminant fluxes from contaminated sediments following dam removal in an urbanized river, Environ. Monit. Assess., 186, 4841–4855.
Csiki, S., and B. L. Rhoads (2010), Hydraulic and geomorphological effects of run-of-river dams, Prog. Phys. Geogr., 34(6), 755–780.
Doyle, M. W., E. H. Stanley, and J. M. Harbor (2002), Geomorphic analogies for assessing probable channel response to dam removal, J. Am. Water Resour. Assoc., 38, 1567–1579.
Evans, J. E. (2007), Sediment impacts of the 1994 failure of IVEX Dam (Chagrin River, NE Ohio): A test of channel evolution models, J. Great Lakes Res., 33(2), 90–102.
Evans, J. E., and J. F. Gottgens (2007), Contaminant stratigraphy of the Ballville Reservoir, Sandusky River, NW Ohio: Implications for dam removal, J. Great Lakes Res., 33(2), 182–193.
Evans, E., and A. C. Wilcox (2014), Fine sediment infiltration dynamics in a gravel-bed river following a sediment pulse, River Res. Appl., 30, 372–384.
Ingersoll, C. G., P. S. Haverland, E. L. Brunson, T. J. Canfield, F. J. Dwyer, C. E. Henke, N. E. Kemble, D. R. Mount, and R. G. Fox (1996), Calculation and evaluation of sediment effect concentrations for the amphipod Hyalella azteca and the midge Chironomus riparius, J. Great Lakes Res., 22(3), 602–623.
Juracek, K. E. (2015), The aging of America’s reservoirs: In-reservoir and downstream physical changes and habitat implications, J. Am. Water Resour. Assoc., 51, 168–184.
Long, E. R., and P. M. Chapman (1985), A sediment quality triad: Measures of sediment contamination, toxicity, and infaunal community composition in Puget Sound, Mar. Pollut. Bull., 16, 405–415.
MacDonald, D. D., C. G. Ingersoll, and T. A. Berger (2000), Development and evaluation of consensus-based sediment quality guidelines for freshwater ecosystems, Arch. Environ. Contam. Toxicol., 39, 20–31.
Major, A. R., and J. P. Warner (2008), Contaminant sampling to facilitate dam removal/habitat restoration in New England, USFWS Spec. Rep. FY08-NEFO-1-EC, 53 pp., U.S. Fish and Wildlife Serv., Washington, D.C.
Peck, J. A., A. Mullen, A. Moore, and J. H. Rumschlag (2007), The legacy sediment record within the Munroe Falls Dam pool, Cuyahoga River, Summit County, Ohio, J. Great Lakes Res., 33(2), 127–141.
Randle, T. J., and B. Greimann (2006), Dam decommissioning and sediment management, in Erosion and Sedimentation Manual, chap. 8, pp. 8-1–8-34, U.S. Bur. of Reclam., Denver, Colo.
Rathbun, J., B. E. Graber, K. I. Pelto, J. Turek, and L. Wildman (2005), A sediment quality assessment and management framework for dam removal projects, in Managing Watershed for Human and Natural Impacts, pp. 1–12, Am. Soc. of Civ. Eng., Reston, Va.
Sando, S. K., and J. H. Lambing (2011), Estimated loads of suspended sediment and selected trace elements transported through the Clark Fork basin, Montana, in selected periods before and after the breach of Milltown Dam (water years 1985–2009), U.S. Geol. Surv. Sci. Invest. Rep., 2011-5030, 64 pp.
Shuman, J. R. (1995), Environmental considerations for assessing dam removal alternatives for river restoration, Regul. Rivers Res. Manage., 11, 249–261.
Author Information
James E. Evans, Department of Geology, Bowling Green State University, Bowling Green, Ohio; email: [email protected]
Citation: Evans, J. E. (2015), Contaminated sediment and dam removals: Problem or opportunity?, Eos, 96, doi:10.1029/2015EO036385. Published on 8 October 2015.
Text © 2015. The authors. CC BY-NC 3.0
Except where otherwise noted, images are subject to copyright. Any reuse without express permission from the copyright owner is prohibited.
